“多喝牛奶身体壮!”事实真的如此吗?真相可能大跌眼镜。
女性每日摄入>300毫升的非发酵牛奶,患缺血性心脏病的发病风险会显著增加。不过,与发酵牛奶(酸奶)无关。缺血性心脏病 (IHD) 已成为全球范围内导致寿命损失的主要原因。而健康的饮食,对预防心血管疾病至关重要。该研究旨在探究乳制品对缺血性心脏病的影响。该研究基于两项瑞典前瞻性队列研究中的100775名参与者,在长达33年的随访中,分析非发酵乳或发酵乳摄入量对缺血性心脏病和心肌梗塞的关系。
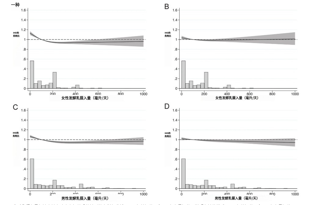
实验发现,女性摄入大量非发酵乳与缺血性心脏病发生风险呈正相关。非发酵乳的摄入量与女性罹患缺铁性心脏病的风险之间存在着非线性关系。其中,300mL/天是拐点。当每日的摄入量不足300mL时,患病率会随着摄入量的增加而有所下降,但当摄入量超过300mL/天之后,摄入量越高,患病率也会随之增加。研究发现,无论牛奶的脂肪含量(全脂、中脂、低脂)如何,女性牛奶摄入量的增加,都会增加缺血性心脏病的风险。同样,“安全线”位于300mL/天。研究者发现,用适量发酵乳(酸奶)摄入量代替非发酵乳可以降低女性缺血性心脏病和心肌梗塞的风险。
不过,这项研究团队也指出,该研究存在一定的局限性。比如研究的民族具有悠久的非发酵和发酵奶摄入历史,而且在高摄入量人群中所占比例相对较大。可能会限制研究结果对其他民族的普遍适用性。
而且研究指明,女性每日摄入量高于300毫升的非发酵奶摄入量(无论脂肪含量如何)与缺血性心脏病存在直接关联,但并不是因果关系。
奶类富含钙、优质蛋白质和B族维生素,对降低慢性病的发病风险具有一定的作用。《中国居民膳食指南(2022)》推荐每天摄入300-500毫升的奶及奶制品。比如,早餐饮用一杯牛奶,午饭或下午茶加一杯无糖酸奶。适当增加无糖酸奶的比例。对于乳糖不耐受的人群(喝完牛奶肠胃不舒服),可以选择舒化奶、无糖酸奶,或者豆浆。此外,保持均衡的饮食习惯,结合规律的身体锻炼,也是预防心血管疾病的有效手段。值得注意的是,每个人的身体状况和营养需求都是独特的,因为在调整饮食结构时,可以咨询专业的营养师或医生。你学会了吗?赶快下方“分享”,让更多的家人吃出健康来吧~点击下方加入7天营养食疗体验营,专属营养师带你一起吃回健康好身体↓↓↓
[1]Michaëlsson, K., Lemming, E. W., Larsson, S. C., Höijer, J., Melhus, H., Svennblad, B., ... & Byberg, L. (2024). Non-fermented and fermented milk intake in relation to risk of ischemic heart disease and to circulating cardiometabolic proteins in swedish women and men: Two prospective longitudinal cohort studies with 100,775 participants. BMC medicine, 22(1), 483.